Humanidades y Ciencias Sociales - Investigación
Efecto de las tic sobre los resultados educativos: estudio en barrios vulnerables de Bahía Blanca
ICT effects on educational outcomes: a study in vulnerable neighborhoods of Bahía Blanca
Efeito das TIC nos resultados educacionais: estudo em bairros vulneráveis de Bahia Blanca
Efecto de las tic sobre los resultados educativos: estudio en barrios vulnerables de Bahía Blanca
Ciencia, Docencia y Tecnología, vol. 31, núm. 61, pp. 120-144, 2020
Universidad Nacional de Entre Ríos
Recepción: 05 Marzo 2020
Aprobación: 24 Junio 2020
Resumen: El objetivo del presente trabajo es analizar el rol de las Tecnologías de la Información y la Comunicación (tic) en relación al rendimiento educativo de los adolescentes que se encuentran en situación de vulnerabilidad social. Para ello, se utiliza una base de datos proveniente de una encuesta a hogares llevada a cabo en tres barrios carenciados de la ciudad de Bahía Blanca, Provincia de Buenos Aires. Se aplica una metodología de regresión de tipo logística y ordinal (Modelo de Chances Proporcionales Parcial). Entre los principales resultados se observa que el acceso a las tic no es estadísticamente significativo, mientras que el uso de las mismas tiene un impacto positivo sobre los logros educativos.
Palabras clave: Tecnologías de la Información y de la Comunicación, rendimiento educativo, vulnerabilidad social.
Abstract: The main goal of this paper is to analyze the role that Information and Communication Technologies (ict) play in the educational performance of young people living under conditions of social vulnerability. To this end, we employ a dataset from a household survey carried out in three poor neighborhoods in the city of Bahía Blanca, Buenos Aires Province. An ordered logistic regression model is estimated. Among the main findings are that ict access is not significant to explain educational outcomes, while ict use has a significant and positive impact on performance.
Keywords: Information and Communication Technologies, educational outcome, social vulnerability.
Resumo: O objetivo deste trabalho é analisar o papel das Tecnologias da Informação e da Comunicação (tic) em relação ao rendimento escolar dos adolescentes que se encontram em situação de vulnerabilidade social. Para isso, utiliza-se um banco de dados de uma pesquisa domiciliar realizada em três bairros carentes da cidade de Bahia Blanca, Província de Buenos Aires. É aplicada uma metodologia de regressão logística ordinal (Modelo de Chances Proporcional Parcial). Entre os principais resultados observa-se que o acesso às tic não é estatisticamente significativo, enquanto o uso delas tem um impacto positivo sobre os desempenhos educacionais.
Palavras-chave: tecnologia da informação e a comunicação, rendimento educacional, vulnerabilidade social.
I. Introducción
El acceso a las Tecnologías de la Información y la Comunicación (tic) se ha convertido en uno de los derechos humanos básicos en la sociedad contemporánea, como resultado de su significancia para el desarrollo de las actividades humanas (Naciones Unidas, 2009). Sin embargo, una de las principales barreras para alcanzar el potencial de las tic en los países en desarrollo es la desigualdad en el acceso a internet (Bradshaw et al., 2005).
En América Latina, y en particular en el caso de Argentina, donde existen ambientes de alta desigualdad, la población pobre padece varios tipos de exclusión, siendo la exclusión digital una de ellas. De hecho, entre los sectores más vulnerables a veces no se accede a la infraestructura básica, o la tecnología y los equipos resultan obsoletos. Asimismo, el acceso a la tecnología no garantiza su uso; otros factores como el ambiente sociocultural de las personas son determinantes críticos.
De acuerdo al Índice de Desarrollo en tic (idi) de 2016 publicado por la Unión Internacional de Telecomunicaciones (itu)1, Argentina se encuentra posicionada en el número 65 en el ranking internacional de 175 países, con un valor del subíndice de Acceso de 6,77 (entre 0 y 10). Por el contrario, en términos de uso, el país se encuentra mejor posicionado, número 57, con un valor del subíndice de Uso tic de 5,45. En parte, esta situación se explica por las mejoras en el indicador de penetración de banda ancha móvil, la cual sin embargo dista de presentar una cobertura universal.
Otra importante forma de exclusión que padecen los sectores vulnerables en el mundo es la educativa, que hace referencia no solo a la imposibilidad de acceso al sistema educativo formal sino también a las dificultades para transitar por el mismo en los términos esperados y para adquirir competencias y conocimientos significativos (García-Huidobro, 2010). El condicionamiento sobre las trayectorias educativas que ejerce el origen socioeconómico constituye un mecanismo reproductor de las desigualdades sociales que puede convertirse en una trampa de pobreza (Formichella, 2009).
Ahora bien, más allá de la fuerte influencia del nivel socioeconómico (nse) familiar, son múltiples los determinantes del éxito o fracaso escolar, vinculados con las características del propio individuo, con las esferas del hogar y la escuela y con el entorno socioeconómico más amplio (Krüger, 2016). Por ejemplo, varios estudios han intentado demostrar la existencia de una correlación positiva entre la infraestructura tic disponible y la mejora en el desempeño de los estudiantes. Sin embargo, tal relación aún es objeto de estudio desde el punto de vista cuantitativo y no existe consenso sobre tal efecto causal. En este sentido, una de principales contribuciones del presente trabajo es proveer información primaria respecto al efecto de las tic en términos de acceso y uso sobre el resultado educativo en grupos de alta vulnerabilidad social de un país en desarrollo, como Argentina.
El resultado educativo será en este caso indicado por la situación en términos de acceso a la escuela y de rezago o repitencia entre jóvenes que se encuentran en edad de asistir al nivel secundario. El acceso o la asistencia es una primera condición, necesaria pero insuficiente, para que exista inclusión educativa. Por otro lado, la progresión en tiempo y forma a través de los distintos niveles educativos puede considerarse una proxy de la calidad de los aprendizajes, así como de la probabilidad de permanecer en el sistema hasta finalizar la escolarización obligatoria. La inquietud del estudio es, entonces, dilucidar si existe una asociación entre el acceso y uso de las tic y estos resultados educativos, aun en contextos socioeconómicos vulnerables.
Para ello, se empleará información proveniente del Proyecto de Desarrollo Tecnológico y Social (pdts, cin-conicet) «Diseño de estrategias para mejorar las oportunidades educativas de la población vulnerable de Bahía Blanca a través de la ONG Red de Voluntarios»2, del cual formamos parte. La ong Red de Voluntarios para una Infancia Mejor desarrolla desde el año 2003 tareas de intervención con el fin de promocionar los derechos de la infancia y la adolescencia en barrios periféricos de la ciudad de Bahía Blanca, Provincia de Buenos Aires. En particular, pone énfasis en el derecho a la educación, ante la evidencia de que en estos contextos el bajo nivel educativo de los adultos, las condiciones precarias de vivienda y salud y las dificultades de inserción laboral de los jefes constituyen un obstáculo para las oportunidades educativas y laborales de sus miembros más jóvenes.
En este marco, el pdts tiene como objetivo general evaluar de forma integral las condiciones socioeducativas en tres de los barrios en los que actúa dicha ong, para luego diseñar estrategias orientadas a potenciar las actividades que la misma lleva a cabo como agente de desarrollo social y promotora del derecho a la educación. Como parte de este proyecto, se realizó en el año 2016 un relevamiento de hogares que será la fuente de información principal de este estudio. Los datos se analizarán a través de la estimación de un modelo Logístico Ordinal Generalizado.
El trabajo se organiza así: en la próxima sección se resumen el marco teórico y los antecedentes sobre el tema; en la sección III se aporta información para contextualizar el estudio; en la IV se detallan la metodología y los datos utilizados; en la sección V se presentan los resultados hallados; y, finalmente, la sección VI contiene las conclusiones generales.
II. Marco teórico y antecedentes
La educación es un elemento clave para el desarrollo de las personas (Sen, 1999). Sin embargo, no todos cuentan con las mismas condiciones de educabilidad, es decir, aquellas condiciones sociales necesarias para asistir a la escuela con éxito (López, 2006). De hecho, la desigualdad social se traduce en gran medida en desigualdad educativa, debido a que las características socioeconómicas de los alumnos constituyen la mayor influencia sobre los resultados educativos, tanto a nivel individual como grupal. El nse de los jóvenes se conforma por una serie de factores que definen el estatus social, económico y cultural de su hogar, y comprende cuestiones como el nivel educativo y el estatus ocupacional de sus padres, su nivel de ingresos y sus recursos de distinto tipo. La pertenencia a distintos estratos socioeconómicos determina una adquisición diferenciada de capital económico y sociocultural, que se vincula estrechamente con las posibilidades de acceder, permanecer y egresar del sistema educativo (Golovanevsky, 2006; Krüger, 2016; Riquelme y Herger, 2001).
Ahora bien, es posible encontrar estudiantes resilientes en entornos vulnerables, que logran alcanzar resultados inesperadamente positivos para su contexto de pertenencia. Por ello, el estudio en profundidad de entornos desfavorecidos puede permitir identificar factores mediadores o moderadores que atenúen el efecto del nivel socioeconómico de origen. En este sentido, es factible pensar que la incorporación de las tic puede contribuir a lograr el acceso universal al sistema educativo (Agudelo, 2012; Alderete et al., 2017; Formichella y Alderete, 2018; Meledro et al., 2016).
De la discusión de la relación entre pobreza y tic se deriva el concepto de pobreza digital, que consiste en la falta de bienes y servicios basados en las tic (Barrantes, 2007). Existe consenso en que la pobreza digital se entiende como la falta de tic entre la población de menores ingresos (Nyaki, 2002), y ha derivado en recomendaciones tendientes a incluir a los sectores tradicionalmente marginalizados.
La brecha digital se refiere a la desigualdad en el acceso a las tic y en el uso de las tic tanto a nivel hogares como a nivel países. Este concepto ha sido definido como la brecha entre quienes tienen acceso a internet y quienes no lo tienen (ntia, 1990), y fue una de las primeras nociones sobre brecha digital. Asegurar que las tic estén disponibles de forma equitativa resulta una condición básica para reducir la brecha de acceso o primera brecha digital (Claro et al., 2011).
A medida que las personas ganan acceso a internet de forma creciente, el concepto se transforma para referirse a la desigualdad en el uso de internet, como segundo concepto de brecha digital. Hargittai (2003: 823) define la brecha digital como «la brecha entre quienes tienen acceso a las tecnologías digitales y aquellos que no; o la brecha entre quienes usan las tecnologías digitales y aquellos que no». Esto conduce a la segunda brecha digital que no se refiere a las diferencias de acceso, sino a las diferencias en el uso de las tic y la capacidad de beneficiarse de ellas (Hargittai, 2002; Robinson, DiMaggio y Hargittai, 2003).
En la demanda de tic interviene un determinante importante que es el ingreso (Barrantes, 2007; Cecchini, 2005; Grazzi y Vergara, 2011; Vicente y López, 2006). La insuficiencia de ingresos, por lo tanto, explica en parte la baja propensión al consumo (entendido como compra y por lo tanto acceso) de estas tecnologías digitales en los sectores más pobres (Barrantes, 2007). Por otro lado, muchos hogares pobres no tienen infraestructura de conectividad para acceder al servicio. En consecuencia, se introduce una restricción de oferta sobre el acceso a las tic y, por ende, sobre su uso. Asimismo, la brecha digital también se visualiza a nivel del sistema educativo: Peres y Hilbert (2009) expresan que en América Latina y el Caribe los colegios que albergan alumnos de condiciones socioeconómicas más desfavorables son también los que poseen mayores limitaciones en cuanto a sus recursos.
Entonces, puede afirmarse que el nse de origen es un determinante tanto de los resultados educativos como del acceso y el uso de tic, encontrándose la población pobre en desventaja en ambos aspectos. Por otro lado, existe evidencia acerca de la vinculación entre las tic y los logros educativos, tal que reducir la primera y segunda brecha digital podría contribuir a reducir la desigualdad educativa.
La literatura que ha analizado la relación entre acceso y uso de las tic y rendimiento educativo de los estudiantes es amplia. Como fundamento teórico del estudio de los determinantes de los resultados educativos se emplea frecuentemente la función de producción educativa (Levin, 1974; Hanushek, 1979). Esta función relaciona los resultados educativos obtenidos con los diversos recursos o insumos que impactan en el aprendizaje de los estudiantes (tales como los recursos escolares y los atributos de las familias). Las tic pueden ser introducidas en esta función como uno de los inputs. De esta manera, una formulación básica de la función se expresaría de la siguiente forma:
Rendimiento educativo= f (características socioeconómicas del hogar, recursos escolares (no tic), acceso tic, uso tic)
Diversos trabajos en la literatura internacional se han dedicado a investigar el efecto de las tic sobre el rendimiento escolar en la educación secundaria. Por una parte, existe un grupo amplio de investigaciones que encuentra un impacto positivo y significativo de las variables tic en algunos resultados educativos (Alderete et al., 2017; Alderete y Formichella, 2016; Aristizabal et al., 2009; Biagi y Loi, 2013; Botello y Rincón, 2014; Cabras y Tena, 2013; Formichella et al., 2015, 2020; Huertas y Pantoja, 2016; Rodríguez et al., 2012; Spieza, 2010). Dentro de este grupo, algunos estudios solo se enfocaron en la disponibilidad o acceso a internet. Entre ellos, destacan Huertas y Pantoja (2016), quienes analizan la influencia de las tic sobre el desempeño académico y la motivación de los estudiantes. Mediante una muestra de 194 estudiantes secundarios de Málaga, concluyen que acceder a internet permite obtener mejores resultados educativos. Por otro lado, Botello y Rincón (2014) analizan datos de algunos países de América Latina y encuentran que el acceso a internet en los hogares de los estudiantes mejora su rendimiento promedio. Por su parte, en el caso de Argentina, Alderete y Formichella (2016) estudian el impacto del programa «Conectar Igualdad» sobre el rendimiento educativo en el nivel medio y hallan que existen diferencias estadísticamente significativas en el rendimiento educativo promedio derivadas de la participación en el programa. Por otra parte, Formichella et al. (2015, 2020), mediante el empleo de técnicas de emparejamiento, encuentran que la disponibilidad de tic en el hogar no solo aumenta el rendimiento educativo sino que, también, disminuye el fracaso escolar de los alumnos del nivel medio argentino.
A su vez, algunos autores han analizado cómo deben ser utilizadas las tic para que los resultados sean satisfactorios, más allá de su acceso. Es decir, destacan el rol del uso de las tic (Alderete et al., 2017; Formichella y Alderete, 2018; Gómez Fernández y Mediavilla, 2018; Rodríguez et al., 2012; Santín y Sicilia, 2014). En este sentido, Rodríguez et al. (2012) proponen un programa de educación basado en las tic, denominado tic para la Educación, cuyo marco de análisis se basa en la evidencia, para determinar la capacidad de un modelo de producir mejoras en los resultados educativos. Se diseñan actividades para promover cambios sustanciales en las prácticas pedagógicas de los colegios, pudiendo ser implementado en seis países de la región, y a partir del mismo explicitan qué condiciones son necesarias para que el uso de las tic pueda generar efectos positivos en los resultados educativos. Al respecto, Santín y Sicilia (2014) argumentan que para que la introducción de nuevas tecnologías sea exitosa en términos educativos, es necesario desarrollar acciones y actividades adicionales que generen innovación en las prácticas de enseñanza-aprendizaje tradicionales, y que lleven a un uso apropiado, eficiente y eficaz del nuevo entorno tecnológico. Por su parte, Marcchiarola et al. (2018) analizan un programa de inclusión digital aplicado en Córdoba en cinco escuelas secundarias y concluyen que las políticas universales de inclusión deben complementarse con intervenciones focalizadas que fortalezcan a las instituciones que presenten mayores dificultades, para que la implementación de procesos que involucren tic generen los resultados esperados.
Asimismo, Gómez Fernández y Mediavilla (2018) evalúan el efecto del uso y disponibilidad de las tic en la escuela y el hogar sobre el desempeño escolar. Mediante datos de pisa 2015 para España, y con un modelo de regresión lineal jerárquico, hallan un efecto positivo del uso de las tic cuando se emplea para entretenimiento en el hogar. En esta línea, Formichella y Alderete (2018) examinan si el uso de las tic en el hogar potencia el efecto directo del acceso y uso de las tic en la escuela. Mediante un Modelo de Ecuaciones Estructurales (sem) aplicado para Uruguay con datos de pisa 2012 concluyen que el uso de las tic en el hogar refuerza el efecto positivo que el uso y acceso a las tic en la escuela posee sobre el rendimiento educativo en matemática, lectura y ciencia. Alderete et al. (2017), por su parte, distinguen el impacto de las tic en el rendimiento educativo en función del acceso y uso de las tic en el hogar y en la escuela con datos de pisa para España. Las autoras encuentran que el acceso a las tic en el hogar tiene una incidencia estadísticamente significativa y positiva sobre el rendimiento educativo que se encuentra potenciada por el uso de las tic fuera de la escuela. Por el contrario, muestran que el acceso y el uso de las tic en la escuela tienen una incidencia estadísticamente significativa y negativa en los logros educativos.
La investigación de Alderete et al. (2017) no es la única evidencia de efectos negativos de las tic sobre la performance educativa. Si bien dicha evidencia es más escasa, hay un grupo de autores que hallan resultados similares (Angrist y Lavy, 2002; Barrera-Osorio y Linden, 2009; Escardíbul y Mediavilla, 2015; Fuchs y Woessman, 2004; Gómez Fernández y Mediavilla, 2018; Muñoz y Ortega, 2014; Sprietsma, 2012). Entre estos, se destaca el estudio de Escardíbul y Mediavilla (2015), quienes encuentran que el tiempo y la frecuencia de uso impactan negativamente en la adquisición de competencias (referidas a matemáticas y de comprensión lectora). Posteriormente, Gómez Fernández y Mediavilla (2018) encuentran también que el uso de las tic para realizar las tareas escolares en el hogar posee efectos negativos en el proceso de aprendizaje.
A su vez, hay un grupo de trabajos que no encuentra ningún impacto de las variables tic sobre los logros académicos, aunque, entre estos, algunos encuentran otro tipo de efectos (Barrera-Osorio y Linden, 2009; Calero y Escardíbul, 2007; Cordero et al., 2012; Goolsbee y Guryan, 2006; Malamud et al., 2018; Witte y Rogge, 2014). Por ejemplo, Malamud et al. (2018), aunque no hallan vínculos significativos del acceso a internet sobre los resultados educativos de matemáticas o lectura, sí hallan un efecto positivo sobre las competencias o habilidades en computación.
La mayor parte de los análisis sobre el impacto de las tic en la educación de los sectores más vulnerables se basa en estudios de casos (Agudelo, 2012; Barrera Moreno et al., 2016; Behrendt, 2013; Meledro et al., 2016; Ruiz, 2003; Temporelli, 2017). Temporelli (2017) analiza el uso de las tic para facilitar la resiliencia en los niños en edad preescolar, a partir de casos de la provincia de Córdoba, Argentina. Luego de estudiar dichos casos concluye que las tic pueden ser una herramienta muy interesante para favorecer actitudes de resiliencia. Si bien halla que no hay diferencias en la efectividad si se trata de niños que provienen de contextos económicos más desfavorables, es particularmente interesante tener en cuenta esta herramienta en situaciones de vulnerabilidad en las que es habitual que los niños se enfrenten a diferentes realidades traumáticas. Por su parte, Meledro et al. (2016) se concentran en los sectores vulnerables y su objetivo es analizar cómo el uso de las tic incide en el ocio y la formación de los jóvenes en España. Los autores encuentran que el grupo analizado utiliza con mayor frecuencia las tecnologías para el ocio y que un porcentaje no despreciable solo tiene espacios de ocio de tipo digital (lo cual se agrava si se lleva a cabo en soledad); además, observan que adquieren menos habilidades mediante el uso de las tic. A su vez, Barrera Moreno et al. (2016) analizan un estudio de caso en el departamento de Cauca (Colombia), zona con alto nivel de conflictividad social y educativa. Entre otros objetivos, se proponen indagar acerca del uso de las tic en relación a la educación. Por medio de una metodología cualitativa basada en entrevistas abiertas a docentes, concluyen que el uso de las tic es indispensable en diferentes ámbitos y, especialmente, en el educativo, porque favorece el desarrollo de las personas. Asimismo, destacan que las oportunidades sociales que se otorgan mediante la educación se ven potenciadas por el uso de las tic y les da a los individuos la oportunidad de integrarse más adecuadamente a la vida económica y política. Behrendt (2013) analiza el Plan Ceibal en Uruguay, el cual consiste en la entrega de computadoras a los estudiantes. La autora estudia el caso de una escuela que se ubica en un barrio carenciado de una ciudad media del interior de Uruguay y que está clasificada oficialmente como «de contexto muy desfavorable». Entre las conclusiones de su trabajo se destacan las siguientes: el programa propicia la inclusión digital y abre puertas para la inclusión social; favorece que los padres se acerquen a la escuela y mejora el proceso enseñanza-aprendizaje. Agudelo (2012) estudia cómo el uso de las tic potencia la inclusión educativa y la equidad en escuelas de Medellín, Colombia. El autor destaca el rol de las tic como elemento para el desarrollo cognitivo y también como factor facilitador de situaciones de inclusión. Por último, Ruiz (2003) se ocupa del uso de las tic y de las oportunidades educativas que surgen a partir de las tecnologías para la población de jóvenes y adultos de escasa escolaridad. Se trata de un estudio de caso que se realizó en una plaza comunitaria en México en el cual se hizo hincapié en los usos de las tic en la población rezagada y marginada.
En suma, más allá de que existen antecedentes de estudio sobre estas temáticas, la agenda de investigación es todavía muy amplia, ya que no se ha arribado aún a un consenso sobre la existencia de relaciones causales generalizadas. Asimismo, en Argentina, y en particular en la ciudad de Bahía Blanca, son escasas las investigaciones cuantitativas que abordan la relación entre las tic y los resultados educativos. El presente trabajo pretende constituir un aporte a la comprensión de dicho problema.
III. Contextualización
La ciudad de Bahía Blanca es la cabecera del partido homónimo y se encuentra ubicada al sudoeste de la Provincia de Buenos Aires. Según el último Censo Nacional de Población y Viviendas, sus aproximadamente 300 mil habitantes la convierten en la cuarta localidad más poblada de la provincia. Por un lado, la ciudad cuenta con una ubicación clave por su condición portuaria y su funcionamiento como nodo energético-logístico, tiene un importante polo tecnológico y parque industrial, así como un sector de comercio y servicios desarrollado. El ingreso per cápita familiar promedio supera a la media del país, y la tasa de pobreza por el método de Necesidades Básicas Insatisfechas es algo menor a la nacional. Asimismo, suele presentar menores tasas de subempleo, sobreocupación, informalidad e inestabilidad laboral que el resto del país3. Sin embargo, las tasas de desempleo suelen ser superiores al promedio nacional4 y distintos indicadores socioeconómicos dan cuenta de persistentes dificultades experimentadas por la población. Por ejemplo, según datos provistos por el indec, un 23,4 % de la población del aglomerado Bahía Blanca-Cerri se encontraba a fines del 2016 bajo la línea de la pobreza, y un 6,5 % por debajo de la línea de indigencia.
Actualmente, una de las problemáticas sociales más relevantes es la marcada segregación urbana, tal que es posible diferenciar la ciudad por zonas según el uso del espacio, el valor de la tierra, y el tipo de edificación predominante y los niveles de calidad de vida (creebba, 2015; Prieto, 2007). Entre las zonas residenciales, los distintos sectores socioeconómicos se agrupan constituyendo barrios de características más bien homogéneas. Así, como resume Malisani (2017), mientras que las zonas Centro y Norte albergan a la población de mayores recursos, en el Sur y Oeste de la ciudad se concentran los segmentos más vulnerables, en gran medida habitando los más de treinta asentamientos informales o precarios de la ciudad. Estos barrios en general carecen de infraestructura y servicios básicos de vivienda, suelen padecer problemas de accesibilidad y son más vulnerables frente a distintos problemas ambientales. Asimismo, predominan las viviendas de mala calidad constructiva y con niveles sustanciales de hacinamiento.
En particular, los asentamientos en los que se enfoca el presente proyecto se ubican muy próximos entre sí, a unos cinco kilómetros del microcentro de la ciudad. La información secundaria disponible, el Censo 2010, solo permite aproximarnos a una caracterización de esta área, ya que la zona se ha modificado sustancialmente durante los últimos años. Igualmente, posibilita la realización de ciertas comparaciones que probablemente continúan vigentes. De acuerdo con lo esperado, estos barrios presentaban, en relación al resto de la ciudad: una mayor proporción de la población conformada por niños y adolescentes (hasta los 18 años de edad); una mayor participación de personas de origen extranjero; un nivel educativo de los habitantes sustancialmente inferior; una tasa de desocupación más elevada; un porcentaje de hogares con NBI que triplicaba al valor general; una calidad constructiva y acceso a servicios básicos de electricidad, agua y gas sustancialmente inferiores; y mayores condiciones de vulnerabilidad socioeconómica para los niños.
En materia de tic, los datos para diagnosticar la situación de Bahía Blanca se obtienen tanto de la entic (Encuesta Nacional sobre Acceso y Uso de Tecnologías de la Información y la Comunicación), resultados del tercer trimestre de 2011, como de la eahu (Encuesta Argentina de Hogares Urbanos). Puede evaluarse, por ejemplo, la situación de la población local en relación a la disponibilidad de bienes tic:

Respecto al acceso a computadoras e internet fija, el aglomerado Bahía Blanca-Cerri ocupa el tercer lugar en la provincia con el 53,8 % y el 43,9 % respectivamente, pero con niveles levemente superiores a los porcentajes nacionales y provinciales en general. Asimismo, según datos de entic-eahu, tercer trimestre de 2011, del total de hogares de Bahía Blanca con disponibilidad de computadoras (N=810), el 79,4 % posee además acceso a internet. Este valor es algo superior al nivel provincial (74 %) y mucho mayor al nivel nacional (61,7 %). Tales diferencias son estadísticamente significativas de acuerdo a la prueba de Chi Cuadrado de Pearson.
Ahora bien, el acceso a internet, aunque se encuentra cada vez más extendido, aún se ve condicionado por el poder adquisitivo de la población. Esto se debe al costo del acceso: el costo del plan de banda ancha fija más barato en el país es de 24 dólares por mes, lo cual representa aproximadamente el 2,91 % del pbi per cápita (dirsi, 2017). Es por ello que la brecha digital resulta evidente: en general, se observa que la proporción de habitantes con internet fija es baja en los primeros quintiles, y se va incrementando a medida que aumenta el nivel de ingreso (Tabla 2). Estas diferencias resultan significativas al 1 % según la prueba de Chi Cuadrado de Pearson.

IV. Datos, variables y metodología
Datos
La fuente de información empleada es un relevamiento realizado en abril del 2016 en el marco de un Proyecto de Desarrollo Tecnológico y Social (pdts) financiado por conicet, Argentina. Se aplicaron encuestas a hogares a partir de un instrumento diseñado por el equipo de investigación, que consta de un cuestionario de hogar y otro de individuos. El primero recaba información sobre el hogar y la vivienda, así como datos básicos sobre los miembros que lo componen (características del barrio, la vivienda, los bienes del hogar, composición demográfica, fuentes de supervivencia del hogar, datos del hogar en relación a la educación y la escuela, etc.). El cuestionario de individuos recaba información sobre los niños y jóvenes de 3 a 18 años de edad (caracterización de la situación educativa actual, trayectoria educativa, disposición de recursos y condiciones para la escuela y el estudio, percepciones y expectativas con respecto a la escuela y su educación, etc.). Los cuestionarios del hogar fueron respondidos por un adulto, preferentemente padre o tutor de alguno de los niños, en caso de haberlos5, mientras que el cuestionario individual podía ser respondido por el propio niño o joven a partir de los 12 años de edad.
Se realizó un diseño muestral bietápico y probabilístico: la unidad primaria de muestreo se conformó por los polígonos de las manzanas de cada barrio y los hogares constituyeron la unidad secundaria de muestreo. Los totales poblacionales se estimaron aplicando factores de reponderación considerando la falta de respuesta. Se relevaron finalmente 381 hogares y 1.459 personas que, luego de aplicar el ponderador muestral correspondiente, representan un total de 1.077 hogares y 4.125 personas. Para el presente estudio se consideró únicamente a la población de jóvenes en edad de asistir al nivel secundario (de 12 a 18 años, inclusive), tal que la muestra consistió de 207 individuos que, ponderados, representan una población de 575 personas.
Variables
• Resultado: en función de la información disponible, se construyó un indicador que resume la situación de acceso y progresión educativa de los encuestados, considerando a la repitencia como proxy del rendimiento educativo o la calidad de los aprendizajes adquiridos. Así, se definió la variable ordinal Resultado educativo que toma los siguientes valores: 1: si el joven en edad escolar no asiste actualmente a la escuela; 2: si asiste, habiendo repetido más de un año; 3: si asiste, habiendo repetido un único año; y 4: si asiste sin haber repetido, siendo 1 el estado peor y 4 el mejor.
• Acceso y uso a las tic: como plantean Serrano Santoyo y Martínez Martínez (2003), a partir del desarrollo acelerado de las telecomunicaciones e informática en el mundo, el concepto de brecha digital ya no se reduce a la dicotomía entre los que tienen o no tienen acceso, sino que la desigualdad también se da entre los que saben y los que no saben. Es decir, debe ponerse el foco en distinguir entre quienes utilizan las tic cotidianamente y quienes no lo hacen, ya sea porque no tienen acceso a las mismas o porque no saben cómo utilizarlas. Siguiendo esta línea de razonamiento, se consideraron las siguientes variables para evaluar el impacto de las tic en los resultados educativos:
- Acceso a internet en el hogar (disponibilidad de conexión en el hogar).
- Uso de tic (si la persona efectivamente utiliza computadora y/o internet).
• Controles: se incluyó un conjunto reducido de controles de nivel individual y del hogar, seleccionados a partir de una revisión de la literatura especializada, a los fines de estimar un modelo parsimonioso: i) características del individuo: género y edad; ii) características del hogar: clima educativo (promedio de años de escolarización de los miembros de 18 años y más); necesidades básicas insatisfechas (considerando las siguientes: vivienda de tipo inconveniente; falta de agua potable en el interior de la vivienda; ausencia de retrete o retrete sin arrastre de agua; hacinamiento o más de tres personas por ambiente; hogar con más de tres miembros por persona ocupada o jubilada, cuyo jefe tiene como máximo nivel educativo la primaria incompleta, o bien sin miembros ocupados ni jubilados/pensionados).
En la Tabla 3 se presentan los estadísticos descriptivos de las variables incluidas en el modelo.

Metodología
Uno de los modelos utilizados más frecuentemente para estudiar los determinantes de una variable dependiente ordinal es el de Regresión Logística Ordinal, que estima la probabilidad acumulada de encontrarse en o por debajo de un valor particular de la variable resultado –o, complementariamente, de encontrarse por encima de ese valor– (Liu y Koirala, 2012). Un supuesto básico de este modelo es que el efecto de cada variable explicativa se mantiene constante entre todas las categorías de la variable dependiente, restricción que se conoce como de líneas paralelas, de regresiones paralelas o de chances proporcionales (proportional odds). Ahora bien, como afirma Williams (2006), en la práctica es usual que esta condición se viole para una o varias variables independientes, en cuyo caso el modelo sería demasiado restrictivo y los resultados no reflejarían fielmente la estructura de los datos. Una alternativa para salvar este problema sería estimar un modelo Logístico Multinomial. Sin embargo, estos modelos son poco parsimoniosos en relación a los modelos ordinales.
Por ello, diversos autores recomiendan la estimación de un modelo de Regresión Logística Ordinal Generalizado (Fu, 1998; Williams, 2006), que comprende como caso particular al modelo Logístico Ordinal. El modelo Logístico Ordinal Generalizado relaja el supuesto de líneas paralelas y permite que los efectos de todas las variables explicativas varíen según el punto en el cual se dicotomicen las categorías de la variable dependiente. Entonces, tiene la ventaja de ser menos restrictivo que el modelo Logístico Ordinal, y más parsimonioso y fácil de interpretar que el modelo Logístico Multinomial. A su vez, contempla como caso particular al modelo de Chances Proporcionales Parcial (Peterson y Harrell, 1990), que relaja la restricción de líneas paralelas para algunas variables, manteniéndolo para otras, tal que solo los coeficientes de algunos regresores difieren entre categorías de la variable resultado.
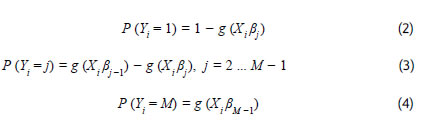
El modelo Logístico Ordinal Generalizado puede plantearse de la siguiente forma (Williams, 2006):

donde M es el número de categorías de la variable dependiente ordinal. Según este modelo, las probabilidades de que Y tome cada uno de los valores 1 a M son las siguientes6:

El modelo utiliza la distribución logística como la función de distribución acumulada y puede así interpretarse en términos de logits:

Un signo positivo de un coeficiente indica que la variable correspondiente se vincula con una mayor posibilidad de encontrarse en categorías más altas de la variable dependiente. Para una interpretación exacta, los coeficientes β deben transformarse en odds o chances relativas (odds ratio), tal que:

Un odd ratio es el cociente entre un número de «eventos» y un número de «no eventos»; por ejemplo: es el cociente entre el número de días que llueve durante un período sobre el número de días que no llueve. Así, cualquier probabilidad puede expresarse de este modo mediante un cociente entre una probabilidad X y (1-probabilidad X), tal que el ratio crece con la probabilidad de X (Cerda, Vera y Rada, 2013). En este caso, los odds ratio indican la probabilidad de encontrarse por encima de cierta categoría de la variable resultado, en relación a la probabilidad de estar en o por debajo de la misma (por ej., para j=2 se contrastan las categorías 3 y 4 versus 1 y 2).
La pertinencia de estimar este modelo frente a un Logístico Ordinal puede evaluarse a través de distintos test estadísticos, como el Test de Brant (Brant, 1990). A su vez, el comando gologit2 de Stata evalúa secuencialmente para cada variable, a partir de una serie de Test de Wald, la conveniencia de mantener la restricción de líneas paralelas, y solo deja sin restringir a aquellas variables que efectivamente violan la condición (en cuyo caso se trataría de un modelo de Chances Proporcionales Parcial). De esta manera se logra arribar a un modelo más parsimonioso que si se dejara sin restringir al conjunto completo de variables explicativas, y se evita la posibilidad de que algunos efectos se vuelvan estadísticamente no significativos (Williams, 2006).
V. Resultados
En esta sección se presentan los resultados del modelo econométrico propuesto, el cual es estimado haciendo uso del Software stata 13.0. Como ya se ha mencionado, la pertinencia de estimar un modelo de Regresión Logística Ordinal Generalizado frente a un modelo de Regresión Logística Ordinal tradicional puede evaluarse a partir del Test de Brant. Este consiste en testear la Hipótesis Nula que afirma que las regresiones son paralelas, es decir, que los coeficientes son iguales para todas las categorías de la variable dependiente y las probabilidades proporcionales, contra la hipótesis alternativa contraria. Para ello, se utiliza el estadístico Chi-cuadrado (Williams, 2006). En este caso, el test arroja evidencia a favor de que el supuesto de regresiones paralelas no se cumple para todas las variables (ver Tabla 4). Por tal motivo, se decide utilizar un Modelo de Regresión Logística Ordinal Generalizado. A su vez, como finalmente solo una de las variables viola esta restricción, el modelo estimado es, estrictamente, de Chances Proporcionales Parcial. A continuación se presentan los resultados obtenidos.

Como puede observarse en la tabla anterior, el acceso a internet en el hogar no es estadísticamente significativo a la hora de explicar el rendimiento escolar. Por el contrario, sí resulta relevante si la persona hace uso de las tic, siendo positivo el efecto de las mismas sobre los resultados educativos. Si el individuo usa las tic, aumenta la probabilidad de pertenecer a categorías superiores a la estudiada. Es decir, usar tic torna más factible obtener el resultado 2, 3 o 4 en comparación con el resultado 1. Lo mismo sucede al estudiar la categoría 2: si usa tic, mayor es la posibilidad de obtener un resultado igual a 3 o 4, en relación a tener un resultado igual a 1 o 2. Finalmente, el uso de las tic hace más probable obtener un resultado igual a 4 versus uno menor. En este caso, el impacto de la variable se mantiene constante al pasar de una categoría a otra de la variable dependiente.
El hecho de que el acceso a las tic no resulte una variable significativa en la determinación del resultado educativo, pero que por el contrario su uso sí sea importante, concuerda con los resultados de varios autores, quienes rescatan la importancias del uso de las tic (Alderete et al., 2017; Formichella y Alderete, 2018; Rodríguez et al., 2012; Santín y Sicilia, 2014). De este modo, se evidencia que debe existir una preocupación por el uso efectivo de las tic más que por la infraestructura tic disponible.
Con el fin de evitar conclusiones erróneas, es decir, establecer una relación entre el uso de las tic que estuviera escondiendo el efecto de otras variables, se incluyeron variables de control. Su rol se analiza de modo análogo al de las variables ya explicadas. Entre ellas, se observa que cuanto mayor es el clima educativo del hogar del individuo, mayor es la probabilidad de que pertenezca a categorías de resultado posteriores a la estudiada (las cuales representan mejores resultados educativos).
Asimismo, quienes habitan en hogares con Necesidades Básicas Insatisfechas tienen menores chances de obtener logros educativos correspondientes a categorías superiores a la analizada. Este mismo efecto se verifica en relación a la edad: a mayor edad menor es la probabilidad de obtener un resultado mejor, lo cual se vincula probablemente con los mayores costos de oportunidad y la acumulación de dificultades a lo largo de la trayectoria escolar. Lo contrario sucede al observar la variable «mujer», ya que esta condición aumenta la probabilidad de obtener un logro más elevado. Sin embargo, ser mujer solo es una variable relevante para pasar del resultado 1 a los restantes y de los resultados 1 y 2 a los resultados 3 y 4, no siendo significativa al comparar las categorías 1, 2 y 3 versus la 4 (queda fuera del alcance de este trabajo explicar el porqué de esta cuestión).
A los fines de conocer con mayor exactitud el efecto de cada variable sobre la probabilidad de obtener ciertos resultados, a partir de los coeficientes obtenidos se calculan los odds ratio (Tabla 5):

Luego, obtener un resultado educativo más favorable en relación a la categoría bajo análisis es 3,37 veces más frecuente en los individuos que usan tic y 0,54 veces más frecuente en hogares con nbi (es decir que la probabilidad se reduce en un 56 %). Asimismo, tener un año promedio más de educación en los adultos del hogar aumenta en 1,18 veces la mencionada frecuencia, mientras que un año más de edad en los individuos la reduce por un factor de 0,49. Por otra parte, ser mujer aumenta la frecuencia de obtención de un resultado mayor al mínimo en 7,7 veces y la de obtener alguno de los dos resultados mejores en 4,3 veces; aunque no tiene efecto al momento de analizar la obtención del mejor de los resultados en relación al resto. Luego, tanto el uso de las tic como ser mujer tienen una mayor incidencia en mejorar el resultado educativo comparado al resto de las variables explicativas.
Por último, resta analizar la bondad de ajuste del modelo considerado. Por una parte, se analiza la significatividad conjunta de las variables explicativas del modelo por medio del Test de Wald y haciendo uso del estadístico Chi-cuadrado. Dado que el p-value que lo acompaña es igual a 0, puede decirse con una confianza del 99 % que se rechaza la hipótesis nula de que los coeficientes son iguales a cero. Asimismo, cabe observar el valor del pseudo R2 (R2 de McFadden), el cual es 0,21. McFadden (1979) señala que valores entre 0,2 y 0,4 representan un ajuste excelente. Por ende, se concluye que el modelo es adecuado.
VI. Conclusiones
Desde el momento en que las tic son consideradas críticas para alcanzar los objetivos del desarrollo socioeconómico, el estudio de su impacto en la educación ha atraído la atención tanto de académicos como del público en general y de los hacedores de políticas. Este trabajo brinda un aporte a la evidencia empírica en torno al impacto del acceso y uso de las tic en el resultado educativo de la población en condiciones de vulnerabilidad social y económica. En particular, constituye una contribución en Argentina y los países de América Latina, donde existen pocos estudios de carácter cuantitativo focalizados en poblaciones bajo situaciones de pobreza.
Mediante el uso de datos primarios provenientes de una encuesta a hogares e individuos en edad escolar en barrios vulnerables de Bahía Blanca, fueron examinados los determinantes del resultado educativo haciendo énfasis en las tic. Para ello, se estimaron modelos de Regresión Logística Ordinal, ya que el rendimiento educativo puede asumir distintos valores que varían en función del grado de desempeño escolar. Si bien no se encontró un efecto estadísticamente significativo del acceso a las tic en el hogar, sí se halló un importante efecto del uso de las tic (computadora e internet) sobre la probabilidad de obtener un logro educativo más elevado (en este caso, asistir a la escuela con menores niveles de repitencia para los jóvenes en edad de asistir al nivel secundario).
De este modo, los resultados sugieren que el uso de las tic tiene un impacto significativo sobre el logro educativo de los estudiantes de barrios vulnerables pero, por el contrario, el acceso a internet en el hogar no es un determinante del mismo. Este resultado, por un lado, corrobora la importancia de la segunda brecha digital en contraposición a la primera brecha de acceso. Por otro lado, es auspicioso que en este sector de la población, donde los individuos realizan esfuerzos para acceder a conectividad desde fuentes alternativas a su hogar, como pueden ser las escuelas, centros comunitarios u otros espacios públicos, esto pueda redundar en un mayor éxito educativo.
Asimismo, de acuerdo a los resultados obtenidos y coherentemente con lo esperado, se concluye que, aun en contextos vulnerables, cuanto mayor es el clima educativo del hogar del joven, mayor es la probabilidad de alcanzar mejores resultados educativos. Además, quienes habitan en hogares con Necesidades Básicas Insatisfechas tienen menores chances de alcanzar los mejores resultados educativos. Por su parte, la edad ejerce un efecto negativo, lo cual es esperable debido a que las chances del abandono escolar o de una mayor cantidad de repitencias crecen con la edad. Finalmente, ser mujer aumenta las posibilidades de alcanzar un mayor logro educativo.
Entre las limitaciones del presente trabajo, se encuentra que el estudio utiliza datos primarios provenientes de solo tres barrios carenciados de la ciudad (aquellos barrios de incumbencia para el pdts). Se espera que los resultados obtenidos alienten el desarrollo de futuras investigaciones en otros barrios de la ciudad. Por otro lado, el relevamiento y los cuestionarios de hogar e individual, aunque fueron conformados por los miembros del equipo, siguen los lineamientos de encuestas reconocidas nacional e internacionalmente como la Encuesta Permanente de Hogares (eph). Por tal motivo, el modelo es susceptible de ser replicado en otras localidades y regiones del país.
En suma, el uso de las tic parece jugar un rol importante aun en contextos adversos para el éxito educativo, lo cual plantea algunas implicancias prácticas. Que los jóvenes puedan explotar las oportunidades o beneficios de las nuevas tecnologías con fines educativos es un proceso que implica hacer un uso adecuado de las tic y generar los incentivos desde los hogares y la escuela. Por tal motivo, es necesario que las políticas públicas se focalicen en las posibilidades de uso de la tecnología que tienen los individuos, en especial aquellos que se encuentran en edad de asistir a la escuela de barrios vulnerables, ya sea habilitando lugares púbicos de acceso gratuito a internet y computadoras, wifi gratis, programas de capacitación en habilidades digitales, entre otras opciones.
Referencias bibliográficas
Agudelo, W. J (2012). Las tic como herramientas potenciadoras de equidad, pertinencia e inclusión educativa. Revista Trilogía, 7: 61-77.
Alderete, M. V. y Formichella, M. M. (2016). The effect of ICTs on academic achievement: the Conectar Igualdad programme in Argentina. Revista de la cepal/cepal Review, 119, 83-100.
Alderete, M. V.; Di Meglio, G. y Formichella, M. M. (2017). Acceso a las tic y rendimiento educativo, ¿una relación potenciada por su uso? Un análisis para España. Revista de Educación, 377, 53-79.
Angrist, J. y Lavy, V. (2002). New evidence on classroom computers and pupil learning. The Economic Journal, 112, 735-65.
Aristizabal, G.; Caicedo, M. y Escandón, D. (2009). Las Tecnologías de la Información y Comunicación como determinante en el rendimiento académico escolar, Colombia 2006-2009. Disponible en: http://2012.economicsofeducation.com
Barrantes, R. (2007). Analysis of ict demand: what is digital poverty and how to measure it? En Galperín, H. y Mariscal, J. Digital poverty: Latin American and Caribbean perspectives. Montevideo: Practical Action Publishing.
Barrera-Osorio, F. y Linden, L. (2009). The use and misuse of computers in education. Evidence from a randomized experiment in Colombia. Policy Research Working Paper, 4836, World Bank, Washington D.C. DOI: http://dx.doi.org/10.1596/1813-9450-4836
Barrera Moreno, J. E; Burbano, M. F. y Sandoval, J. K. (2016). Uso de las tic en el campo de la educación en el Cauca-Colombia: un enfoque desde la perspectiva del desarrollo humano. Suplemento signos ead, 1-17.
Behrendt, A. (2013). Educación e inclusión. Los procesos de enseñanza aprendizaje en la educación primaria y la inclusión digital. Un estudio de casos en Uruguay. En Báez Sus, M. y García, J. M. (comps.), Aportes para (re) pensar el vínculo entre educación y tic en la región. Montevideo: flacso.
Biagi, F. y Loi, M. (2013). Measuring ict use and learning outcomes: evidence from recent econometric studies. European Journal of Education, 48(1): 28-42.
Botello, A. L. H. y Rincón, G. A. (2014). La influencia de las tic en el desempeño académico de los estudiantes en América Latina: Evidencia de la prueba pisa 2012. Memorias Virtual Educa, Memorias VE2014. Lima, Perú.
Bradshaw, Y.; Fallon, K. M. y Viterna, J. (2005). Writing the world: access to information technology and development in poor countries. Research in Social Stratification and Mobility, 23: 369-392.
Brant, R. (1990). Assessing proportionality in the proportional odds model for ordinal logistic regression. Biometrics, 46: 1171-1178.
Cabras, S. y Tena, J. (2013). Estimación del efecto causal del uso de ordenadores en los resultados de los estudiantes en el test PISA 2012. En inee (ed.) PISA 2012: Programa para la evaluación internacional de los alumnos. Informe español. Volumen II: Análisis secundario (Madrid, inee), 67-87.
Calero, J. y Escardíbul, J. O. (2007). Evaluación de servicios educativos: el rendimiento en los centros públicos y privados medido en pisa-2003. Hacienda Pública Española, 183: 33-66.
Cecchini, S. (2005). Oportunidades digitales, equidad y pobreza en América Latina: ¿Qué podemos aprender de la evidencia empírica? Serie Estudios Estadísticos y Prospectivos, 40, 39-55. Ed. cepal.
Cerda, J.; Vera, C. y Rada, G. (2013). Odds ratio: aspectos teóricos y prácticos. Rev. Med. Chile, 141, 1329-1335.
Claro, M.; Espejo, A.; Jara, I. y Trucco, D. (2011). Aporte del sistema educativo a la reducción de las brechas digitales. Una mirada desde las mediciones pisa. Documento de proyecto cepal. Santiago de Chile.
Cordero, J.; Manchón, C. y Simancas, R. (2012). Análisis de los condicionantes del rendimiento educativo de los alumnos españoles en pisa 2009 mediante técnicas multinivel. Presupuesto y Gasto Público, 67, 71-96.
CREEBBA (2015). Indicadores de Actividad Económica, 141. Bahía Blanca. Disponible en: http://www.creebba.org.ar/main/index.php?op=estesp&cual=iae141.html&
Escardíbul, J. O. y Mediavilla, M. (2015). El efecto de las tic en la adquisición de competencias. Un análisis por tipo de centro educativo (público/privado). XXIV Jornadas de la Asociación de Economía de la Educación. Madrid, junio de 2015.
Formichella, M. M. (2009). Una explicación de las trampas de pobreza a nivel microeconómico. El círculo vicioso entre el nivel de educación y el nivel de ingresos de las familias. Revista Estudios Económicos, 26(52), 49-80.
Formichella, M. M. y Alderete, M. V. (2018). tic en la escuela y rendimiento educativo, el efecto mediador del uso de las tic en el hogar. Investigaciones Educativas de Uruguay, 9(1), 75-93.
Formichella, M. M.; Alderete, M. V. y Di Meglio, G. A. (2015). El acceso a las tic en el hogar como determinante del rendimiento educativo en el nivel medio, un análisis para Argentina. En Rahona López, M., y Graves, J. (eds.), Investigaciones de Economía de la Educación, edición 1, volumen 10, cap. 18, 357-374. Asociación de Economía de la Educación.
Formichella, M. M.; Alderete, M. V. y Di Meglio, G. A. (2020) New technologies in households: Is there an educational payoff? Evidence from Argentina. Revista Education in The Knowledge Society (eks), vol. 21, 18/1-18/14. Disponible en https://revistas.usal.es/index.php/eks/article/view/eks20202118.
Fu, V. (1998). Estimating generalized ordered logit models. Stata Technical Bulletin, 44: 27-30. En Stata Technical Bulletin Reprints, 8, 160-164. CollegeStation, tx: Stata Press.
Fuchs, T. y Woessmann, L. (2005). Computers and student learning: Bivariate and multivariate evidence on the availability and use of computers at home and at school. ifo Working Paper, 8. Múnich: CESifoGroup. Disponible en: http://www.cesifo-group.de/pls/guest/download/Ifo%20Working%20Papers%20(seit%202005)/IfoWorkingPaper-8.pdf
García-Huidobro, J. (2010). Educación inclusiva y formación democrática. En Duro, E. (coord.), Educación secundaria. Derecho, inclusión y desarrollo. Desafíos para la educación de los adolescentes. Buenos Aires: unicef.
Golovanevsky, L. (2006). Vulnerabilidad y transmisión intergeneracional de la pobreza, un abordaje cuantitativo para Argentina en el siglo xxi. Buenos Aires: Universidad de Buenos Aires, Facultad de Ciencias Económicas.
Gómez Fernández, N. y Mediavilla, M. (2018). Do information and communication technologies (ict) improve educational outcomes? Evidence for Spain in pisa 2015. Working Paper ieb, 2018/20, Institut d’Economia de Barcelona.
Goolsbee, A. y Guryan, J. (2006). The impact of internet subsidies in public schools. The Review of Economics and Statistics, 88(2), 336-47.
Grazzi, M. y Vergara, S. (2011). Determinants of ict access. En Balboni, M.; Rovira, S. y Vergara, S.: ICT in LatinAmerica. A Microdata Analysis. Santiago: United Nations. cepal.
Hanushek, E. A. (1979). Conceptual and empirical issues in the estimation of educational production functions. Journal of Human Resources, 14: 351-388.
Hargittai, E. (2002). Second-level digital divide: difference in people’s online skills. First Monday, 7(4). Disponible en: http://firstmonday.org/htbin/cgiwrap/bin/ojs/index.php/fm/article/view/942/864
Hargittai, E. (2003). The digital divide and what to do about it. En Jones, C. (ed.): New Economy Handbook, 821-39. Nueva York: Elsevier.
Huertas, A. y Pantoja, A. (2016). Efectos de un programa educativo basado en el uso de las tic sobre el rendimiento académico y la motivación del alumnado en la asignatura de tecnología de educación secundaria. Educación XXI, 19(2), 229-250. DOI: 10.5944/educXX1.14224
ITU (2016). Measuring the Information Society Report 2016. Ginebra: International Telecommunication Union.
Krüger, N. (2016). Equidad educativa interna y externa: principales tendencias en Argentina durante las últimas décadas. Revista Latinoamericana de Estudios Educativos, 46(2), 39-78.
Levin, H. M. (1974). Measuring efficiency in educational production. Public Finance Quarterly, 2, 3-24.
Liu, X. y Koirala, H. (2012). Ordinal regression analysis: using generalized ordinal logistic regression models to estimate educational data. Journal of Modern Applied Statistical Methods, 11(1), 242-254.
López, N. (2006). Equidad educativa y desigualdad social. Buenos Aires: iipe-unesco.
Malamud, O.; Cueto, S.; Cristia, J. P., y Beuermann, D. (2018). Do children benefit from internet access? Experimental evidence from a developing country. BID Working Paper.
Malisani, D. (2017). La política de integración urbana en Bahía Blanca a la luz del presupuesto municipal. Tesis de la Licenciatura en Economía, Universidad Nacional del Sur.
McFadden, D. (1979) Quantitative methods for analyzing travel behaviour on individuals: some recent developments. En Hensher, D. y Stopher, P. (eds.), Behavioural Travel Modelling. Londres: Croom Helm, 279-318.
Marcchiarola, V.; Martilini, C.; Montebelli, A.E. y Mancini, A.A. (2018). Inclusión digital educativa en escuelas secundarias argentinas. Un estudio evaluativo. Ciencia, Docencia y Tecnología, 57(29), 149-175.
Meledro, E.; García Castilla, F. y Goig Martínez, R. (2016). El uso de las tic en el ocio y la formación de los jóvenes vulnerables. Revista Española de Pedagogía, 263, 71-89.
Naciones Unidas (2009). Report of the special rapporteur on the promotion and protection of the right to freedom of opinion and expression. Disponible en: http://www.unhcr.org/refworld/country.MISSION.HND..49f8416d2.0.htm
National Telecommunications and Information Administration (NTIA) (1990). Falling through the net: A survey of the «have nofs» in rural and urban America. Washington, DC: US Department of Commerce. Disponible en: http://www.ntia.doc.gov/legacy/ntiahome/fttn99/FTTN.pdf
Nyaki, C. (2002). ICT and poverty: A literature review. International Development Research Center-IDCR, 58. Disponible en http://network.idrc.ca/uploads/user-S/10541291550ICTPovertyBiblio.doc
Peterson, B. y Harrell, F. E. (1990). Partial proportional odds models for ordinal response variables. Journal of the Royal Statistical Society. Series C (Applied Statistics), 39(2), 205-217.
Prieto, M. B. (2007). Condiciones habitacionales y calidad de vida urbana. El caso de la ciudad de Bahía Blanca. Jornadas Argentinas de Estudios de Población. Huerta Grande, Córdoba.
Riquelme, G. y Herger, N. (2001). El acceso y permanencia en el sistema educativo: ¿quiénes son beneficiadas/os y excluidas/os? Revista del Instituto de Investigaciones en Ciencias de la Educación, 18, 3-18.
Robinson, L.; Cotten, S. R.; Ono, H.; Quan-Haase, A.; Mesch, G.; Chen, W. et al. (2015). Digital inequalities and why they matter. Information, Communication & Society, 18(5), 569-582.
Rodríguez, P.; Nussbaum, M. y Dombrovskaia, L. (2012). ICT for education: a conceptual framework for the sustainable adoption of technology enhanced learning environments in schools. Technology, Pedagogy and Education, 21(3), 291-315.
Santín, D. y Sicilia, G. (2014). Evaluar para mejorar: Hacia el seguimiento y la evaluación sistemática de las políticas educativas. Reflexiones sobre el sistema educativo español. Fundación Europea Sociedad y Educación, España.
Sen, A. (1999). Desarrollo y libertad. Buenos Aires: Planeta.
Spieza, V. (2010). Does computer use increase educational achievements? Student-level evidence from pisa. oecd Journal: Economic Studies. Disponible en: http://www1.oecd.org/eco/labour/49849896.pdf
Sprietsma, M. (2012). Computers as pedagogical tools in Brazil: A pseudo-panel analysis. Education Economics, 20(1), 19-32.
Temporelli, W. (2017). Estrategias de implementación de herramientas tic para el desarrollo de efectos resilientes. Reflexión Académica en Diseño & Comunicación, 18(32), 158-175.
Vicente, M. R. y López, A. J. (2006). Patterns of ict diffusion across the European Union. Economic Letters, 93, 45-51.
Williams, R. (2006). Generalized ordered logit/partial proportional odds models for ordinal dependent variables. The Stata Journal, 6(1), 58-82.
Witte, K. y Rogge, N. (2014). Does ict matter for effectiveness and efficiency in mathematics education? Computers & Education, 75, 173-84.
Notas